Šikmý ohyb vzniká vtedy, ak zaťaženie nepôsobí ani v jednej z hlavných osí zotrvačnosti prierezu y, z. Príklad šikmého ohybu je možné vidieť pri strešných konštrukciách.
Ohybový moment
pôsobí v rovine označenej ρ. Vektor
je odklonený od vodorovnej osi y o uhol α.
Tento vektor má dve súradnice My a Mz, ktoré pôsobia v hlavných centrálnych osiach zotrvačnosti prierezu y, z.
V súlade s kapitolou o jednoduchom ohybe, ohybový moment My spôsobuje jednoduchý ohyb okolo osi y a ohybový moment Mz jednoduchý ohyb okolo osi z.
Priebehy napätí od ohybu okolo osi y, okolo osi z a výsledné napätia od šikmého ohybu prebiehajú nasledovne.
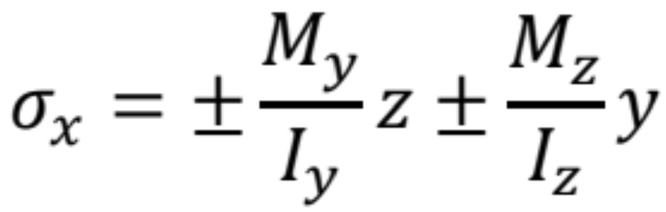
Ak predpokladáme pružné správanie sa materiálu, môžeme v súlade s predchádzajúcim obrázkom použiť pre výpočet napätí vzorce pre jednoduché ohyby.
Keďže v oboch prípadoch namáhania vzniká normálové napätie σx elementárnej sily
sú kolineárne vektory a môžeme ich sčítať algebricky:

Znamienka závisia od voľby smeru pôsobenia kladných súradníc My a Mz. Kladný moment My spôsobuje v I. kvadrante osí y, z ťahové normálové napätia, preto sa zavádza pri výpočte napätí so znamienkom plus (+). Kladný ohybový moment Mz spôsobuje v I. kvadrante tlakové normálové napätie, preto použijeme vo vzorci znamienko mínus (-).

Predpokladáme, že vektor zaťaženia pôsobí na nosník v rovine odklonenej od hlavnej osi zotrvačnosti z o orientovaný uhol tak, že smeruje do druhého kvadrantu. Potom vektor ohybového momentu
a jeho zložky My a Mz smerujú do prvého kvadrantu prierezu. Potom súradnice vektora
možno vyjadriť v tvare

Potom normálové napätie môžeme vyjadriť v nasledujúcom tvare
