„Virtuálna práca vonkajších síl skupiny i na premiestneniach vyvolaných vonkajšími silami skupiny k, sa rovná virtuálnej práci vnútorných síl skupiny i na premiestneniach vyvolaných vnútornými silami skupiny k.”
![]()
Analogicky „virtuálna práca vonkajších síl skupiny k na premiestneniach vyvolaných vonkajšími silami skupiny i, sa rovná virtuálnej práci vnútorných síl skupiny k na premiestneniach vyvolaných vnútornými silami skupiny i.“
![]()
Pre zjednodušenie sa budú v ďalších zápisoch skutočné sily a premiestnenia písať bez indexu a virtuálne sily s vodorovnou čiarkou.

Postup výpočtu na výpočet premiestnení pomocou virtuálnych prác:
- Danú konštrukciu vypočítame od dvoch zaťažovacích stavov.
- Prvý zaťažovací stav je zaťaženie reálnym silovým zaťažením.
- Druhý zaťažovací stav je zaťažený virtuálnym zaťažením. Virtuálny stav je zaťaženie danej konštrukcie virtuálnou silou (momentom) veľkosti 1, ktorá pôsobí v mieste a smere hľadaného premiestnenia.
Príklad výpočtu premiestnenia cez virtuálnu prácu
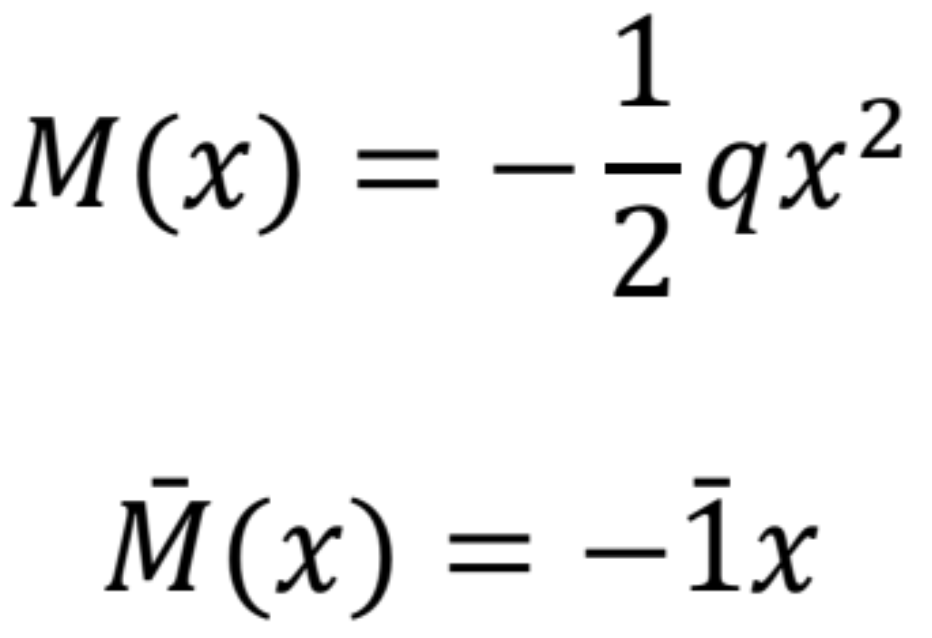
Uvažujme konzolu zaťaženú rovnomerným spojitým zaťažením, s konštantnou ohybovou tuhosťou El. Určte zvislý priehyb bodu a konca konzoly, wa = ?.
Vplyv priečnych a normálových síl je percentuálne zanedbateľný oproti ohybovým momentom, preto ich v ďalšom výpočte zanedbáme.
Postup výpočtu:
- Prvý zaťažovací stav – výpočet vnútorných síl – ohybových momentov M od zadaného zaťaženie
- Druhý zaťažovací stav – zaťažený virtuálnym zaťažením. Výpočet ohybových momentov
od zaťaženia silou
ktorá pôsobí v bode a v smere očakávaného premiestnenia.
Funkcie ohybových momentov sú popísané nasledovnými funkciami (počiatok súradnicového systému je v bode
).

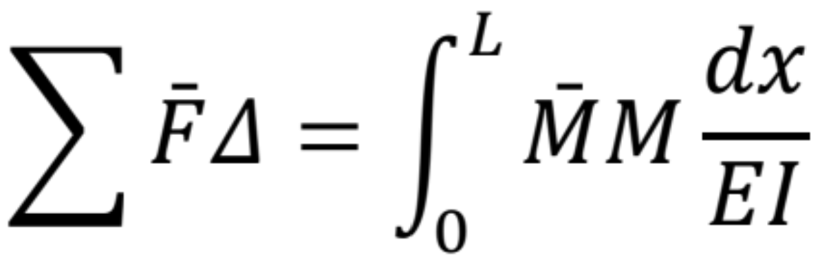
Z princípu virtuálnych prác ostane na ľavej strane výrazu člen s virtuálnou silou a na pravej strane len člen obsahujúci ohybové momenty, pretože ostatné prierezové sily a teplota nadobúdajú nulové hodnoty:

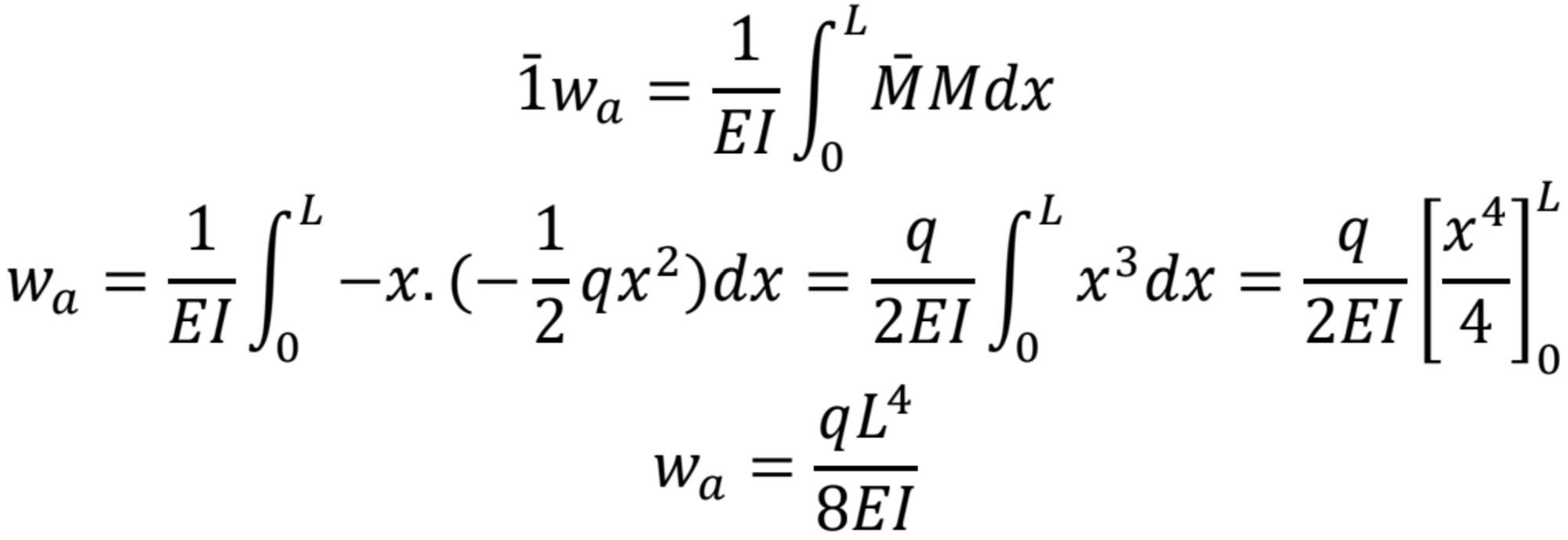
Pre zadaný konzolu a deformáciu v bode a tento výraz bude nasledovný:

Pre konkrétnu konzolu dĺžky L = 3,0 m zaťaženú spojitým rovnomerným zaťažením q = 2 kN/m, ktorá je z oceľového (E = 210 GPa) valcovaného l profilu I200 (moment zotrvačnosti l = 2,14.10-6 m4) priehyb konca konzoly vychádza w
= 45.10-3 m.