Jednoduché krútenie vzniká vtedy, ak jedinou vnútornou silou v každom kruhovom, resp. medzikruhovom priereze prúta je krútiaci moment, t. j. moment pôsobiaci v rovine prierezu.
Výskyt jednoduchého krútenia:
- v hnacích nápravách motorov,
- pri krútení hriadeľov,
- pri prútoch priestorových rámových konštrukcií,
- pri jednoduchom kľúči.

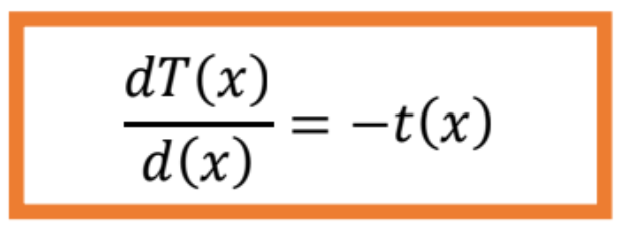
Z podmienky rovnováhy momentov okolo osi x, na diferenciálnom elemente otáčajúcich sa okolo osi prúta, získame vzťah medzi vnútornými prierezovými silami a intenzitou vonkajšieho zaťaženia.
![]()

Hypotézy o pretvorení, prijaté na základe experimentálneho vyšetrovania prútov kruhového resp. medzikruhového prierezu:
- Os prúta zostane aj po deformácii priama.
- Rovinné prierezy zostanú aj po deformácii rovinnými, pričom ich vzájomná vzdialenosť sa nemení.
- Prierezy sa otáčajú ako tuhé celky.
- Vzájomné pootočenia prierezov sú priamo úmerné ich vzdialenosti.
