Vplyvom pôsobenia vonkajších síl sa teleso deformuje. V telese vzniká:
- zmena tvaru alebo
- zmena objemu telesa.
Každú deformáciu skúmame z pohľadu:
- fyzikálneho (pružná, plastická),
- geometrického (zmena dĺžky, uhla, zmena vzdialeností, zmena vzájomnej polohy bodov telesa).
Zmena dĺžky
Máme body A, B, ktorých vzdialenosť je dl. Po zaťažení sa premiestnia do novej polohy A‘, B‘ a ich vzdialenosť sa zmení na dl‘.
Rozdiel novej a pôvodnej dĺžky je zmena dĺžky ∆dl [m].

- ∆dl je kladné, ak sa pôvodná dĺžka zväčší.
- ∆dl je záporné ak sa pôvodná dĺžka zmenší.

Podiel absolútnej zmeny dĺžky k pôvodnej dĺžke označujeme pomernou zmenou dĺžky ε a jej znamienko je zhodné so zmenou dĺžky. Ide o bezrozmernú veličinu.

Zmena uhlov
Na deformovanom telese dochádza okrem zmeny dĺžky aj k zmene uhlov. V niektorých špeciáInych prípadoch môže byť deformáciou v telese iba zmena uhlov.

- Pomerným posunutím alebo skosom označujeme zmenu pri pretvorení telesa, kedy sa pôvodne pravý uhol zmení o uhol γ.
- Vzhľadom na predpoklad malých deformácií, môžeme tan γ nahradit’ priamo γ.
- Zmena uhla γ je bezrozmerná veličina a jej znamienko závisí od zavedenej sústavy súradníc.

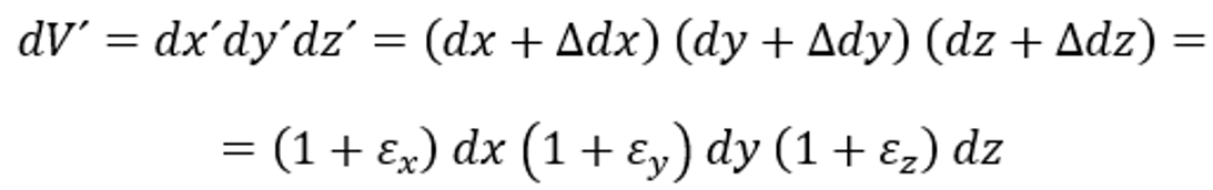
Zmena objemu
Pri pretvorení telesa dochádza k zmene dĺžok v troch kolmých smeroch, čo vyvolá zmenu objemu telesa. Ak označíme:
- objem elementárneho prvku pred pretvorením dV,
- po pretvorení dV'.
potom objemová zmena celého telesa je:
![]()
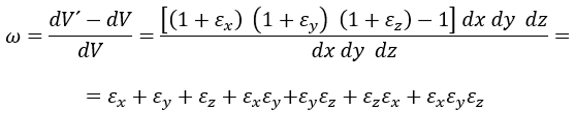
Pomerná objemová zmena elementárneho prvku je vyjadrená potom:

Ak pôvodný objem diferenciálnej kocky dV = dx dy dz sa po zaťažení vplyvom dĺžkových zmien zmení na

Potom pomerná objemová zmena bude:

Za predpokladu malých deformácií sú pomerné deformácie rádovo menšie vzhľadom k jednotke a môžeme ich súčiny zanedbať.
Potom pomerná objemová zmena je:
