Označme pôsobisko excentrickej ťahovej sily F ako P, ktoré má súradnice yp a zp k centrálnym hlavným osiam zotrvačnosti prierezu. Pri riešení stavu napätosti pri tomto spôsobe namáhania použijeme princíp superpozície.
Ak už bolo uvedené, ak posunieme excentrickú silu F do ťažiska prierezu, potom jej účinok k jednotlivým hlavným osiam zotrvačnosti môžeme určiť nasledovne:
![]()
![]()
Pri všetkých troch jednoduchých spôsoboch namáhania vzniká normálové napätie σx. Jeho výslednú hodnotu môžeme určiť algebrickým súčtom napätí od jednotlivých typov namáhania.


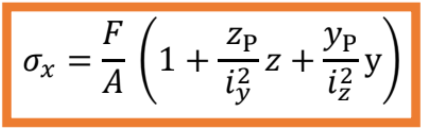
Po dosadení vzťahov na výpočet momentov dostaneme výsledné normálové napätie, ak v priereze pôsobí sila a ohybové momenty:

alebo po ďalšej úprave dostaneme:

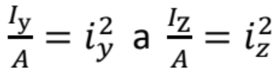
Pri uvážení vzťahov pre výpočet polomerov zotvačnosti
dostaneme, ktorý použijeme na výpočet nosmálového napätia, ak v priereze pôsobí excentrická sila v bode
.
