Jadro prierezu je taká oblasť, ktorá obklopuje ťažisko prierezu, do ktorej musíme navrhnúť pôsobisko tlakovej sily, aby stavebné konštrukcie z materiálov ako prostý betón neboli namáhané ťahovým napätím, pretože mu nevedia mu odolávať. Takže ak excentrická tlaková (ťahová) sila pôsobí v jadre prierezu, celý prierez je iba tlačený (ťahaný).
Vieme, že neutrálna os rozdeľuje oblasť s ťahovými a tlakovými napätiami. Ak chceme z prierezu vylúčiť ťah, tak musíme krajnými polohami neutrálnych osi viesť dotyčnice ku obrysu prierezu.
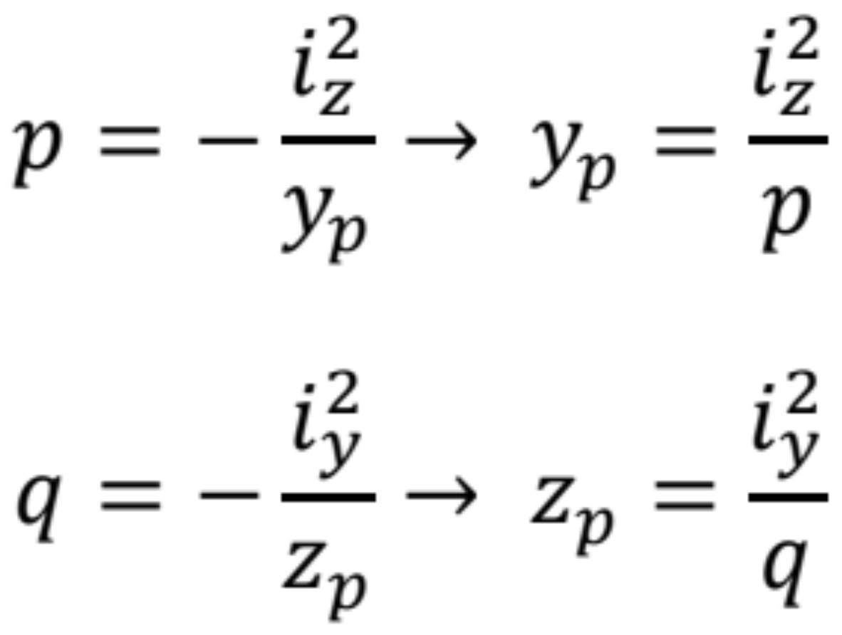
Pri praktickom určovaní hranice jadra prierezu určíme súradnice množiny pôsobísk tlakovej sily P(yp, zp) odpovedajúce množine neutrálnych osí dotýkajúcich sa prierezu. Vychádzame zo vzorcov na úsekový tvar rovnice, z ktorých vyjadríme súradnice pôsobiska tlakovej sily. Za hodnotu p dosádzame vzdialenosť dotyčnice na osi y od ťažiska prierezu a za hodnotu q dosadíme vzdialenosť príslušnej dotyčnice na osi z od ťažiska prierezu.

Z týchto rovníc zistíme body jadra prierezu, ktoré pospájame medzi sebou a dostaneme výslednú oblasť jadra prierezu.
Príklady jadra pre rôzne prierezy: