Majme teleso tvaru kocky, ktorá je pevne ukotvená v jednom rohu, tak že pod vplyvom silového zaťaženia v protiľahlom rohu sa kocka neposúva ani neotáča.
Stav napätosti telesa budeme skúmať v karteziánskej sústave súradníc xyz. Na kocku pôsobí sila F, ktorá je kladne orientovaná v prvom oktante sústavy súradníc. To znamená, že všetky tri zložky sily F, teda Fx, Fy, Fz pôsobia v kladnom smere súradnicových osí. Od silového účinku vznikajú v telese napätia, ktoré budeme skúmať.
Stredom kocky vedieme rez v rovine yz a označíme si napätia od jednotlivých zložiek sily F. Rovina yz má normálu v smere osi x. Od sily Fx vzniká na ploche rezu normálové napätie σx, od Fy vzniká šmykové napätie τxy a od Fz vzniká šmykové napätie τxz. Normálové napätia označujeme indexom podľa normály plochy, na ktorej vznikajú.
Šmykové napätia označujeme dvojitým indexom, pričom prvý index označuje normálu plochy, na ktorej napätia pôsobia a druhý index označuje smer pôsobenia.

Napätia na plochách elementárneho prvku

Napätia v bode elementárneho prvku
Podobne sa pozrieme na napätia v reze xz s normálou y, kde vznikajú napätia
- normálové σy od sily Fy,
- šmykové napätie τyx od sily Fx,
- šmykové napätie τyz od sily Fz.
Kolmo na obe predchádzajúce roviny vedieme stredom kocky rez xy s normálou z, kde vznikajú napätia
- normálové σz od Fz,
- šmykové τzx od Fx,
- šmykové τzy od Fy.
Priesečník troch kolmých rezových rovín označíme ako bod B.

Stav napätosti v bode B úplne popisuje uvedených deväť zložiek napätia, ktoré pôsobia v troch kolmých rovinách. Tieto zložky napätia môžeme zoradiť do jedného matematického objektu, takzvaného tenzora napätosti. Matematicky ho zapíšeme ako maticu

Tenzor je matematický objekt, ktorý popisuje v danom bode fyzikálnu veličinu, ktorá má (na rozdiel od vektora) viacero orientovaných zložiek – teda každá zložka má veľkosť aj smer.
Všeobecný stav napätosti v bode B nazývame priestorovou napätosťou. Napätia považujeme za kladné, ak na ploche s kladnou normálou smerujú v smere kladných osí a na plochách so zápornou normálou pôsobia v smere záporných osí. Šmykové napätia nazývame aj ako tangenciálne napätia.
Napätia pôsobiace v danom bode B môžeme odčítať na kladných plochách a rovnako ich môžeme odčítať aj na záporných plochách. Kladné napätia na záporných plochách majú opačný smer ako na kladných plochách, sú teda v smere záporných osí. Tieto dve sady napätí pôsobia v bode B súčasne, a keďže je teleso a tým aj bod B v pokoji, sú tieto napätia v okolí bodu v rovnováhe. Pre prehľadnosť zobrazíme napätia v bode B na diferenciálnom elemente, ktoré predstavuje limitné okolie bodu B. Limitné okolie bodu je nekonečne blízke okolie bodu, nie však nulových rozmerov.
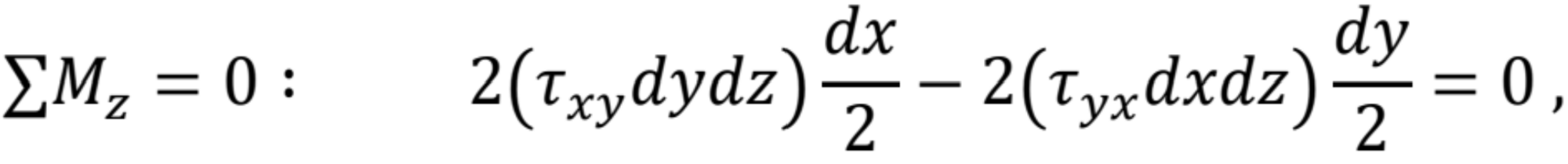
Zameriame sa na šmykové napätia pôsobiace v rovine xy, a to τxy a τyx. Ak uvažujeme, že je bod B v pokoji, potom musí byť ľubovoľná silová či momentová podmienka na diferenciálnom elemente rovná nule. Zapíšeme momentovú podmienku okolo osi z
![]()
z čoho vyplýva, že
![]()
Táto rovnosť vyjadruje vetu o vzájomnosti šmykových napätí a rovnako platí aj pre ďalšie šmykové napätia
![]()
Zo vzájomnosti šmykových napätí vyplýva symetria tenzora napätosti.