a) Krátky stĺp konštantného prierezu je zaťažený vlastnou tiažou,

alebo prút konštantného prierezu je zaťažený normálovým zaťažením.

-
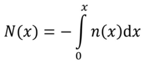
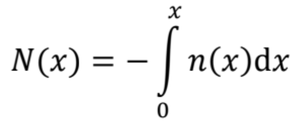
Normálová sila v priereze x je

-
Po integrácii dostaneme
![]()
-
Okrajová podmienka:
![]()
-
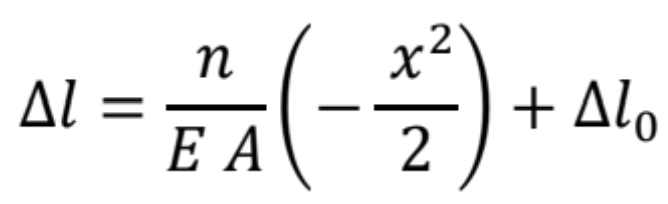
Po dosadení dostaneme
![]()
-
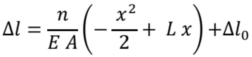
Zmena dĺžky prúta je

-
Po integrácii dostaneme

-
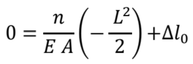
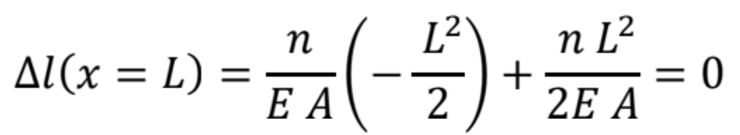
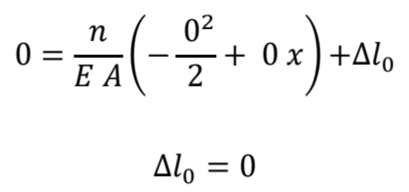
Deformačná okrajová podmienka:
![]()
-
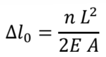
Po dosadení:


-
Po dosadení dostaneme

-
Predĺženie v jednotlivých úsekoch
-
Pre x=0

-
Pre x=L/2

-
Pre x=L

-
V zmysle kladnej osi x sa prút pod vplyvom zaťaženie (sĺp od vlastnej tiaže) skráti.
a) Prút konštantného prierezu je zaťažený normálovým zaťažením.


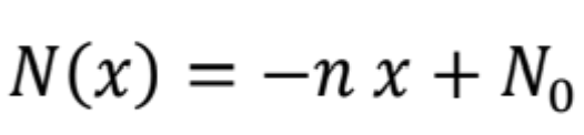
- Normálová sila v priereze x je

- Po integrácii dostaneme
![]()
- Okrajová podmienka:

- Normálová sila v priereze x je po vypočítaní je
![]()
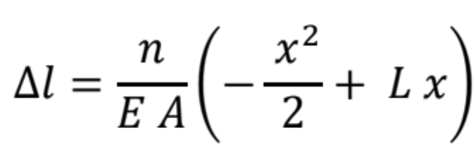
- Zmena dĺžky prúta je
- Po integrácii dostaneme

- Deformačná okrajová podmienka:
![]()
- Po dosadení:

- Po dosadení dostaneme

- Predĺženie v jednotlivých úsekoch
- Pre x=0

- Pre x=L/2

- Pre x=L

- V zmysle kladnej osi x sa prút pod vplyvom zaťaženie predĺži.