Z podmienky rovnováhy síl na diferenciálnom elemente pôsobiacich v smere x dostaneme:

- Normálová sila v priereze x je
- Normálové napätie v priereze x je

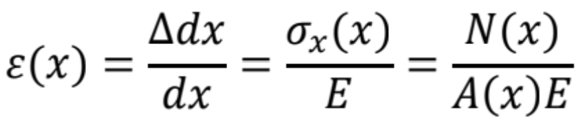
- Pomerné pretvorenie v priereze x je
![]()
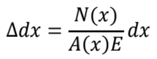
- Dĺžková zmena diferenciálneho element v priereze x je

- Zmena dĺžky prúta je
