Zmena teploty spôsobuje zmenu objemu a tvaru telesa.

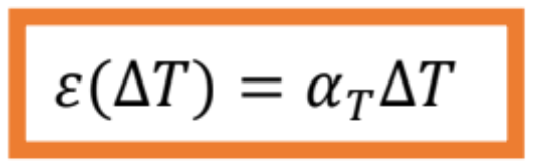
Pomerná zmena od teploty je

kde ατ je koeficient tepelnej rozťažnosti [°C-1].
Hodnoty koeficientu tepelnej rozťažnosti ατ pre rôzne materiály sú:

Ak zmena teploty je konštantná alebo lineárne premenná a teleso je staticky určito podopreté, potom:
- nevznikajú vnútorné sily v telese,
- vznikajú však deformácie.
Pri staticky neurčitom podoprení vznikajú v telese vnútorné sily v dôsledku prebytočných väzieb.
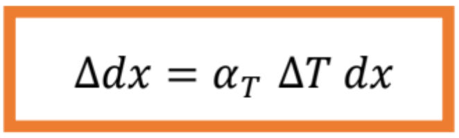
- Pri zmene teploty o ΔT sa zmení dĺžka dx elementu prúta o

- Zmena dĺžky prúta od rovnomernej teploty

- Ak je prút namáhaný okrem teploty aj silami v smere osi nosníka, potom pomerná zmena dĺžky sa získa superpozíciou

Podporené grantom: KEGA 030STU-4/2023
Vedúca projektu: Doc. Tvrdá
Zdroj: Dický, J., Mistríková, Z., Sumec, J.: Pružnosť a plasticita I. Vydavateľstvo STU. 2005.