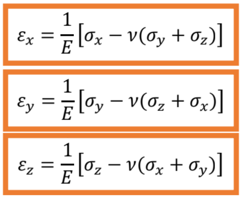
Uvažujme homogénny izotropný materiál (E a v).
- Diferenciálny hranolček bude zaťažený v smere x napätím σx.
- Zisťujeme deformácie v troch navzájom kolmých smeroch.


- Pozdĺžne pomerné pretvorenie je

- Priečne pomerné pretvorenia sú

- Rovnako postupujeme pre diferenciálny element zaťažený samostatne v smere y napätím σy

- a napätím σz v smere z.

- Sčítaním všetkých troch smerov získame

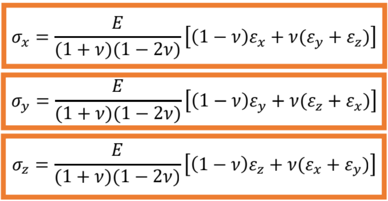
- A následne inverziou napätia v troch smeroch.
