Z hypotézy o pretvorení pri osovom ťahu (tlaku) vyplýva, že pomerné pretvorenie εx je v každom bode prierezu konštantné. Potom pre homogénny materiál, kde E je konštantný, bude na základe jednoduchého Hookovho zákona aj normálové napätie vo všetkých bodoch prierezu konštantné:

Keďže:
- os prúta zostáva priama,
- nedochádza k priečnym posunom,
- nevzniká tangenciálne napätie.
- Vzniká iba normálové napätie v rezoch kolmých na os prúta.
Elementárna sila dN bude pôsobiť na každú elementárnu plôšku.


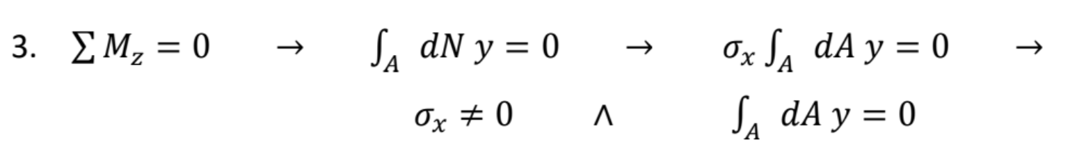
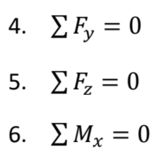
Rozloženie a veľkosť elementárnych síl dN musí byť staticky ekvivalentné osovej sile N. Máme šesť podmienok rovnováhy. Z prvej podmienky rovnováhy elementárnych vnútorných síl dN a osovej sily N v priereze vyplýva:
![]()
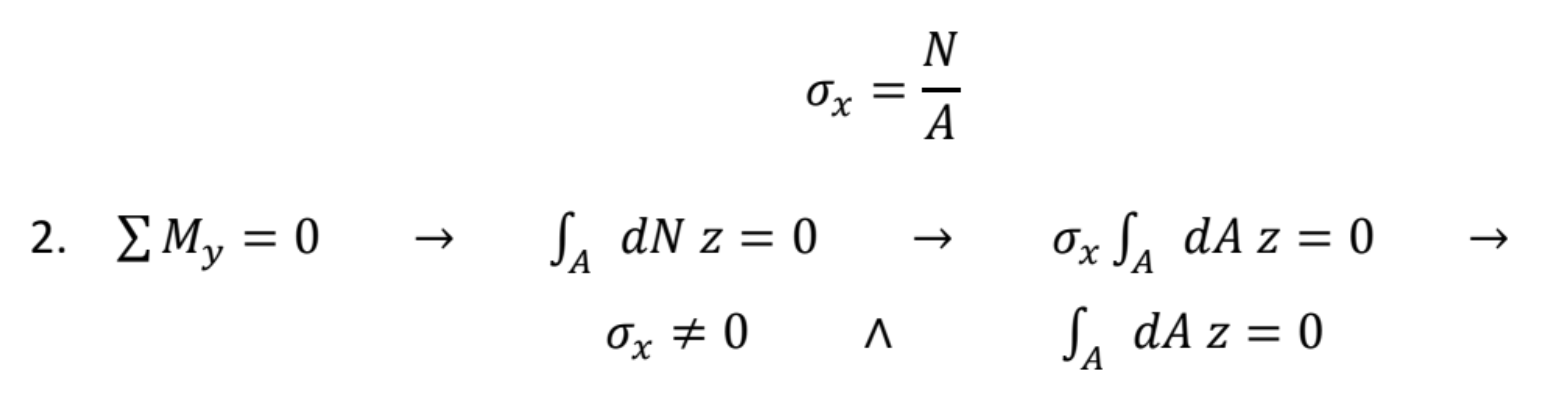
Veľkosť normálového napätia v ľubovoľnom bode prierezu namáhaného osovým ťahom resp. tlakom určíme podľa vzťahu


![]()
Statické momenty
prierezovej plochy A sú nulové k ťažiskovým osiam. Podmienky 4 - 6 sú splnené identicky.

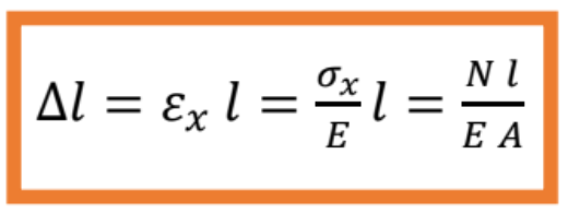
Potom pomerné pretvorenie prúta dĺžky l, konštatnej prierezovej plochy, namáhaného konštantnou osovou silou N je
- Geometrická rovnica

- Fyzikálna rovnica

- Zmena dĺžky prúta

- Súčin EA sa nazýva tuhosť prierezu v ťahu, resp. tlaku [N].
je poddajnosť prúta v ťahu, resp. tlaku [mN-1].
je tuhosť prúta v ťahu, resp. tlaku [N-1m].