Vzorce na výpočet kritického zaťaženia a tvary vybočenia je možné vyjadriť pomocou Eulerovej kritickej sily.

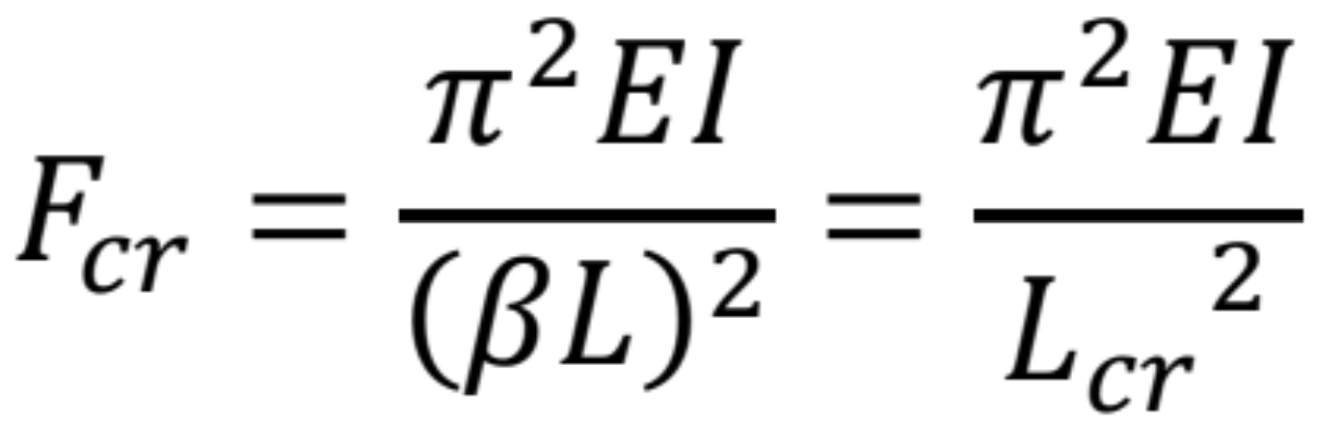
Preto kritickú silu pre každý typ uloženia vyjadríme ako násobok Eulerovej kritickej sily

pričom Lcr = βL je vzperná dĺžka prúta.
Vzperná dĺžka prúta je ekvivalentná dĺžka, pri ktorej má prút rovnakú kritickú silu ako prút kĺbovo podopretý. Jednotlivé typy prútov pre rôzne uloženia je možné vidieť na predchádzajúcom obrázku, pričom vzperná dĺžka prúta je vzdialenosť dvoch inflexných bodov na čiare vybočenia prúta.
Koeficient má tieto hodnoty:
- β=1 → kĺb – kĺb
- β=2 → votknutý prút
- β=0,7 → kĺb – votknutie
- β=0,5 → votknutie – votknutie