- Pri odvodzovaní Eulerových vzorcov pre výpočet kritických síl ideálnych prútov sa vychádza z predpokladu lineárne pružného materiálu.
- Preto platnosť týchto vzorcov je obmedzená.
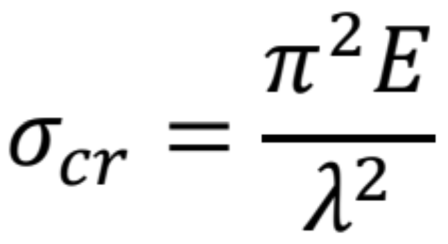
Eulerovo kritické napätie zavedieme ako podiel Eulerovej kritickej sily a plochy prierezu.

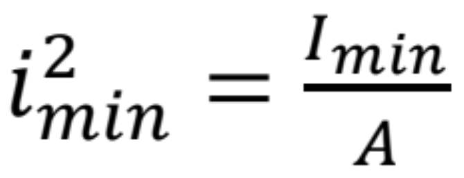
Kde
a po zavedení pojmu štíhlosť prúta
, môžeme určiť Eulerovo kritické napätie:

Najväčšie platné Eulerovo kritické napätie sa rovná napätiu na medzi úmernosti a zodpovedá medznej štíhlosti

Použiteľnosť Eulerových vzorcov je zdola ohraničená medzou štíhlosti λu.
Závislosť medzi Eulerovým kritickým napätím a štíhlosťou je uvedená na nasledujúcom obrázku.
