Tangenciálne napätie sa vzhľadom na priečne zaťaženie mení a nie je konštantné. Teda je rozdielne v každom bode. Zároveň môžeme s istotou povedať, že šmykové napätie na voľnom povrchu stavebnej nosnej konštrukcie je nulové. V jednoduchosti sa v tejto oblasti nenachádza ďalšia nekonečne tenká plocha o ktorú by sa prvá plocha mohla trieť. Zároveň vieme skutočnosť, že najväčšia hodnota tangenciálneho napätia je v tzv. neutrálnej osi. Na tejto osi dochádza k javu, ktorý sa nazýva čistý šmyk.
Uvažujeme nosník, ktorý zaťažený priečnym zaťažením v smere osi symetrie z tak, že v prierezoch vznikajú okrem ohybových momentov My aj priečne sily Vz.

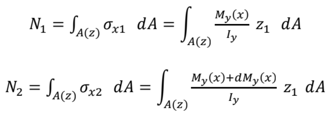
Ohybové momenty My uvedené na predchádzajúcom obrázku sa menia po dĺžke prúta. Preto aj napätia σx1 v ľavom priereze vybraného elementu a σx2 v pravom priereze elementu majú rôzne veľkosti.
Integrál normálových napätí po celom priereze, t. j. osová sila, sa však rovná nule. Statické momenty elementárnych síl k neutrálnej osi prierezu sú v rovnováhe s ohybovými momentami v prierezoch.
Iná situácia nastane, ak vybratý element z nosníka rozdelíme na dve časti, ktorý je zaťažený silami a momentami.

Normálové sily pôsobiace na element:

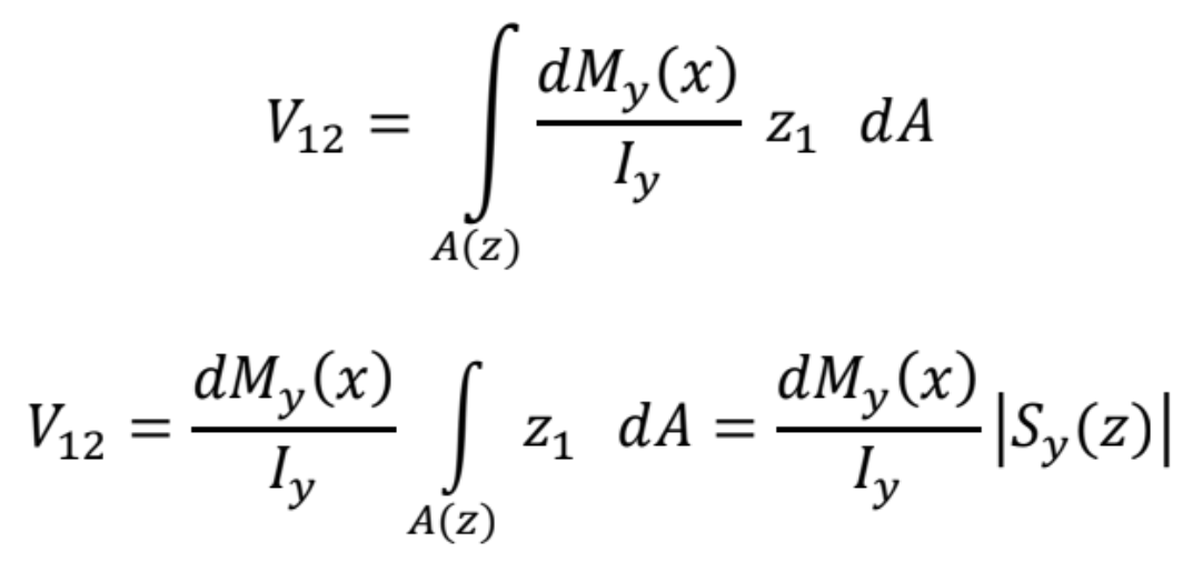
Skúmajme rovnováhu horizontálnych síl na elemente:
![]()
Po dosadení normálových síl dostaneme šmykovú silu V12

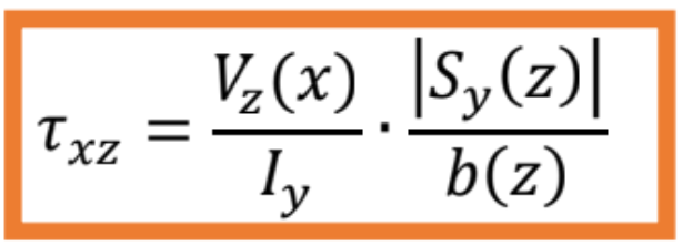
kde |Sy(z)| je absolútna hodnota statického momentu časti prierezu od hladiny z po okraj prierezu.
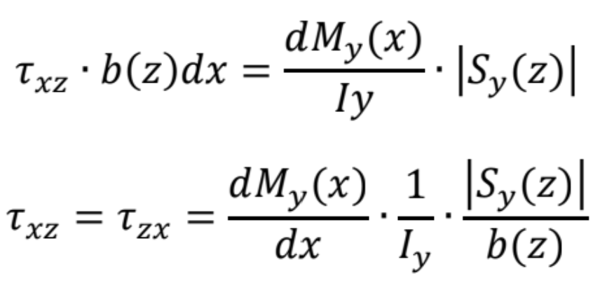
Šmyková sila V12 v priereze sa rozIoží do šmykových napätí τzx. Na ich určenie použijeme Grasshofov predpoklad pre symetrický prierez, podľa ktorého zIožka tangenciálneho napätia τzx je konštantná po šírke prierezu b(z).
![]()
Porovnaním predchádzajúcich vzťahov na výpočet šmykovej sily V12 a vyžitím vety o združenosti tangenciálnych napätiach τzx = τxz, môžeme písať

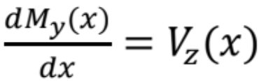
a následne využitím Schwedler-Žuravského vety
, dostaneme vzorec na výpočet šmykového napätia v smere osi z:
