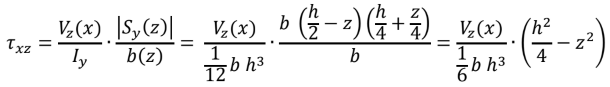
Dosadením statického momentu plochy podľa hodnôt z predchádzajúceho obrázka dostaneme:

Výpočet napätí:
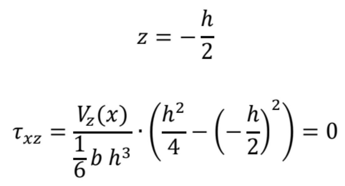
- Horný okraj, kde

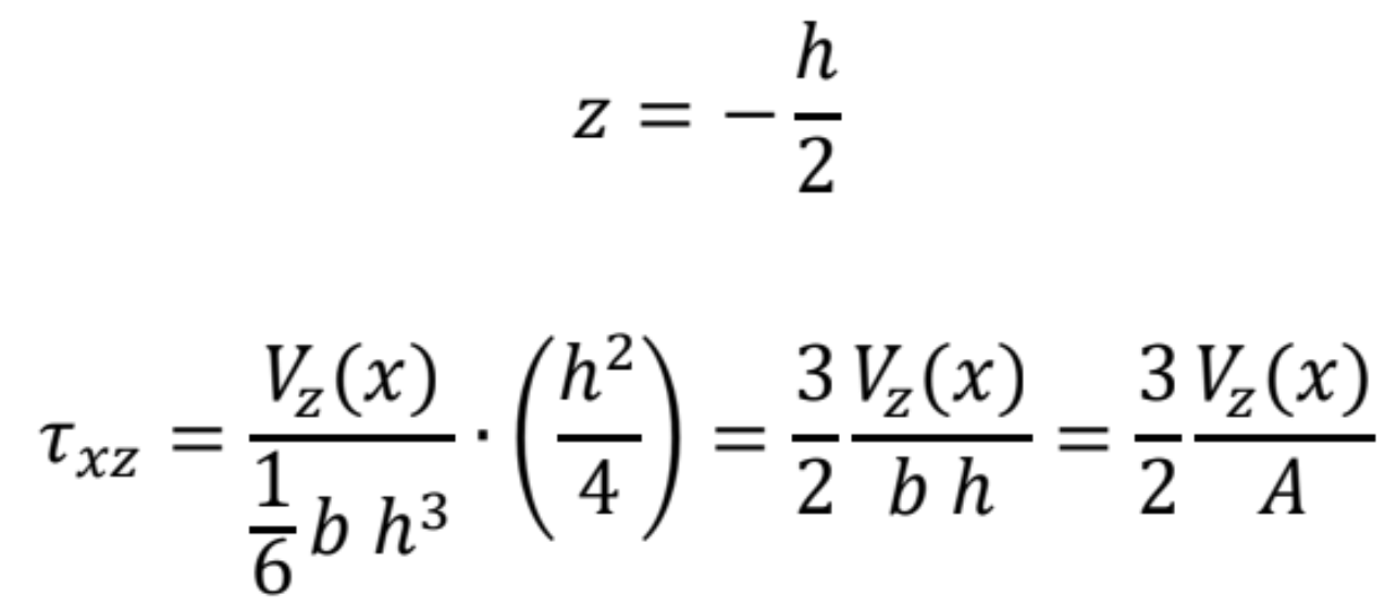
- Stred, kde

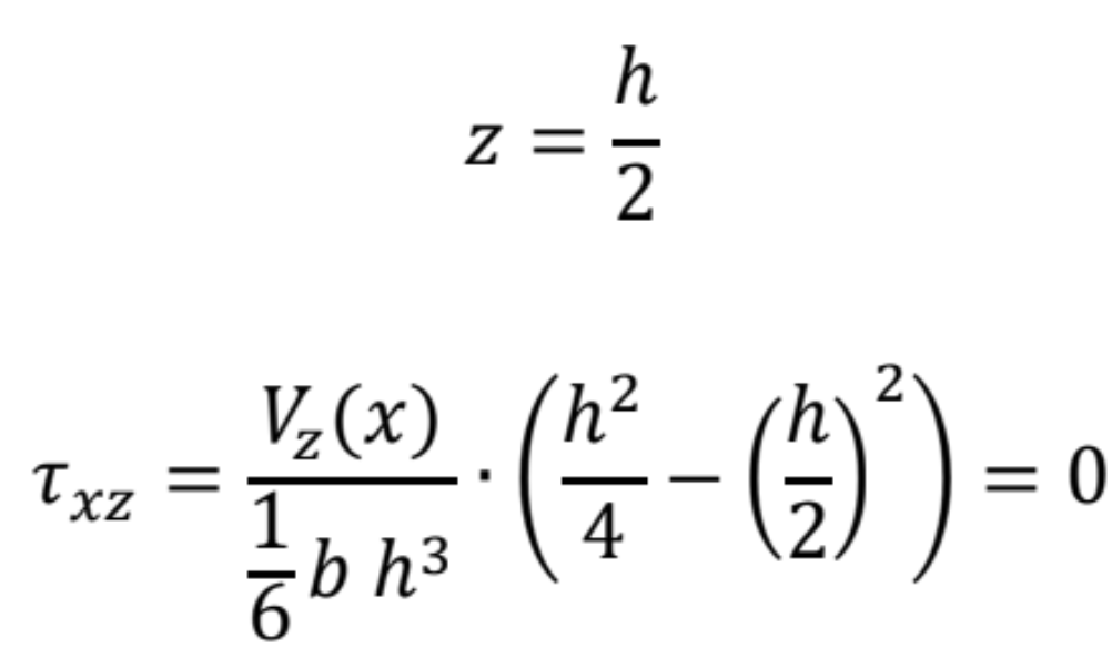
- Dolný okraj, kde

Priebeh napätí je parabolický a je zobrazený na nasledujúcom obrázku. Smer šmykového napätia je totožný so smerom priečnej sily.
Porovnanie max. hodnoty šmykového napätia s napätím od čistého šmyku
