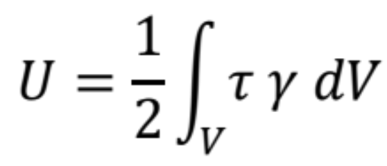
Energiu deformácie v šmyku pri ohybe dostaneme, ak určíme prácu vonkajšej sily pôsobiacej na element pri priečnej sile Vz.


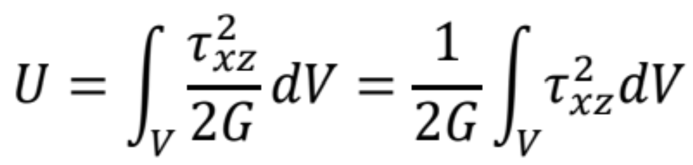
Hustotu potenciálnej energie deformácie získame ako

Celková potenciálna energia v objeme
je

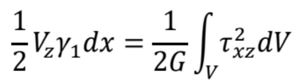
Z rovnosti práce vonkajších síl a celkovej potenciálnej energie deformácie (L = U) dostaneme

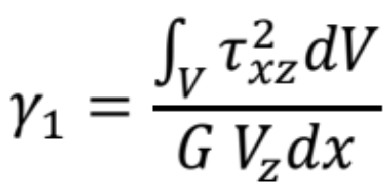
Odkiaľ vyjadríme pomerné skosenie pri šmyku pri ohybe ako

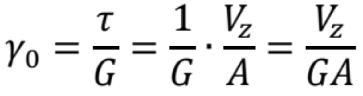
Z teórie čistého šmyku vieme, že platí nasledujúci vzťah o pomernom skosení:

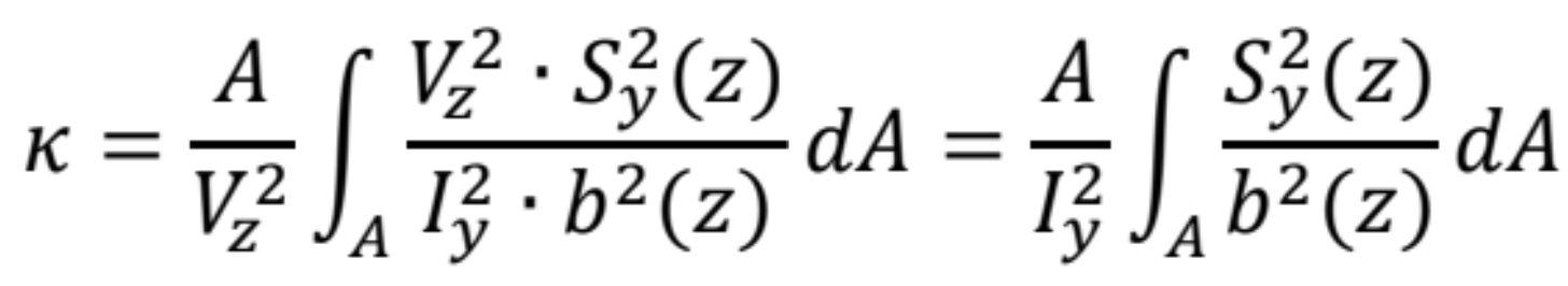
Podiel pomerných skosení od šmyku za ohybu a pomerných skosení pri čistom šmyku nazveme koeficient tvaru prierezu (κ).
Po dosadení predchádzajúcich vzťahov dostaneme:

Za τxz dosadíme vzorec pre výpočet šmykového napätia pri ohybe a za objem
, potom dostaneme výsledný vzorec pre výpočet koeficient tvaru prierezu.

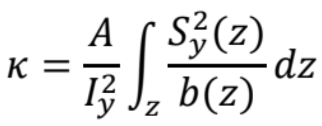
Ak uvážime dA=b(z) dz, potom dostaneme výsledný vzorec pre výpočet koeficient tvaru prierezu.

Pri čistom šmyku sa energie deformácie určí ako:

V šmyku pri ohybe je zmena šmykových napätí a skosení v priereze zohľadnená koeficientom k, potom

a po uvážení
, potom pre energiu deformácie v šmyku pri ohybe dostaneme

Po úprave
