Uvažujme obdĺžnikový prierez o rozmerov b x h.
Statický moment plochy

potom koeficient κ bude

Pre obdĺžnikový prierez predstavuje hodnotu 1,2.
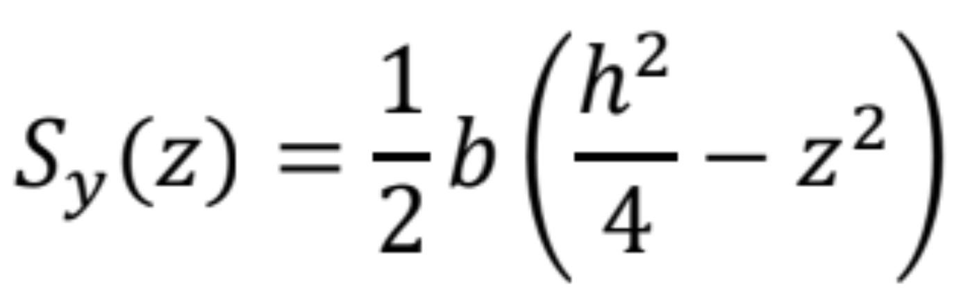
Uvažujme obdĺžnikový prierez o rozmerov b x h.
Statický moment plochy

potom koeficient κ bude

Pre obdĺžnikový prierez predstavuje hodnotu 1,2.